【学习】三种保温材料均可作为被动式低能耗建筑的外墙保温结构,你知道吗?
【学习】三种保温材料均可作为被动式低能耗建筑的外墙保温结构,你知道吗?
建筑能耗占社会总能耗比例在 30% 左右 [1],降低建筑能耗对于社会绿色可持续发展有重要意义。在此背景下德国 Feist 教授提出的被动式低能耗建筑理念,对于降低建筑能耗、减轻环境污染具有极大的积极作用。根据相关标准要求,被动式低能耗建筑采暖 / 制冷需求为 15W/(m²a),相较传统建筑其能耗明显降低 [2]。
降低建筑能耗关键在于降低建筑与环境之间的热量耗散,而外墙处热量耗散在建筑整体热量耗散中占比最大,改善外墙的保温措施可以明显提高建筑节能效果。目前外墙保温多采用多孔材料,是指多孔固体骨架构成的孔隙空间中充满单相或多相介质,固体骨架遍及多孔介质所占据的体积空间,孔隙空间相互连通,其内的介质可以是气相流体、液相流体或气液两相流体 [1, 3]。其孔隙处水分的蒸发-冷凝过程,会对材料的保温性能产生明显影响,并可能对材料造成结构性破坏,故需要对保温材料内部冷凝问题进行研究。
本文以成都、北京、哈尔滨代表三种典型的冬冷气候条件,研究单层岩棉条结构和岩棉条-石墨聚苯板双层结构作为被动式低能耗建筑外保温结构时,在三种典型气候条件下的冬季内部冷凝问题,保温层厚度根据《被动式超低能耗绿色建筑技术导则 ( 试行 )》中对外墙传热系数的要求确定,为岩棉条和石墨聚苯板作为被动式低能耗建筑外墙保温材料提供设计参考依据。
一、分析方法及设计计算参数
1 保温结构内部冷凝问题分析方法
根据傅里叶定律计算第三类边界条件下一维无热源热传导过程中各交界面温度公式如下:
其中 q 为热流强度,Tin、Tout 分别为室内室外温度,hin、hout 分别为室内外墙壁处换热系数,n 为外墙保温板层数,从 1 开始计数,δi 为第 i 层保温板厚度,λi为第 i 层保温板导热系数,ai 为第 i 层保温板导热系数的修正系数,Tj 为第 j 界面温度,从 1 开始计数。
根据各界面温度计算结果可进一步获得该界面处饱和蒸汽压 ps,即为该温度下所能蕴含的水蒸气最大量。
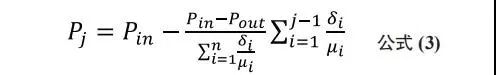
根据 Galser 提出的稳态蒸汽渗透模型 [4,5] 计算水蒸气一维无源渗流过程中各界面的水蒸气压力公式如下:
其中 Pin、Pout 分别为室内室外水蒸气分压力,可根据室内外温度及相对湿度计算得到,μi 为第 i 层保温板水蒸气渗透系数,Pj 为第 j 界面水蒸气分压力。
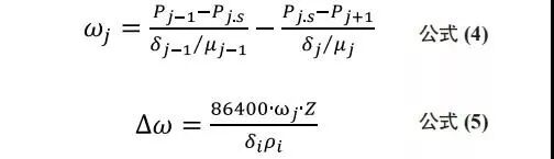
如果界面处水蒸气分压力计算值大于该界面处饱和水蒸气分压力,则表明该界面处水蒸气出现冷凝现象。当出现冷凝现象时,根据公式 (4)、公式 (5) 计算冷凝界面的冷凝强度和保温层材料重量湿度增量。
其中 ωj 为 j 界面的冷凝强度,Pj-1、Pj+1 分别为 j-1、j+1 界面的实际水蒸气分压力,Pj.s 为 j 界面饱和蒸汽压,δj-1、δj 分别为 j-1、j 层保温板厚度,μj-1、μj 分别为j-1、j 层保温板水蒸气渗透系数,∆ω 为保温层材料重量湿度增量,Z 为采暖期天数,ρi 为保温材料密度。
2 设计计算参数
通过分析方法可知,设计计算过程中需要确定室内外温度、相对湿度、内外墙面换热系数,可根据GB50176-2016《民用建筑热工设计规范》[5] 附录 A 选取三个城市的冬季室外气象参数,根据附录 B 选取墙面换热系数;依据《被动式超低能耗绿色建筑技术导则 ( 试行 )( 居住建筑 )》[6] 的规定,选取三个城市的外墙传热系数,作为设计围护结构各层厚度的依据,具体内容见表1。
表 1 三个典型城市冬季室内外气象参数和热工设计参数
3 材料物理性质
本研究中所选取的材料种类及其物理性质见表 2,其中岩棉条和石墨聚苯板的导热系数比较低,是围护结构保温的关键材料;但是岩棉条蒸汽渗透系数较高,不利于防止水蒸气渗透,石墨聚苯板水蒸气渗透系数较低,有利于防止水蒸气渗透。
表 2 保温材料基本物理性质
二、计算与分析1 围护结构具体构造及热工性能
围护结构构造中,非关键保温材料厚度依据国家标准 GB 50011-2010《建筑抗震设计规范》[7] 和国家建筑标准设计图集 16J908-8《被动式低能耗建筑 - 严寒和寒冷地区居住建筑》[8] 确定,其中钢筋混凝土厚度200mm,聚合物抗裂砂浆厚度 5mm。
依据《被动式超低能耗绿色建筑技术导则(试行)(居住建筑 )》[6] 中对外墙传热系数的要求设计关键保温材料的厚度。对于单层岩棉条结构,仅需计算岩棉条厚度;对于岩棉条-石墨聚苯板双层结构,按照 GB50016-2014《建筑设计防火规范》[9] 的要求,岩棉条厚度设为50mm,仅需计算石墨聚苯板的厚度。
设计计算结果如表 3 所示,进而可计算出各层材料的热阻、蒸汽渗透阻及围护结构总热阻、总蒸汽渗透阻,如表 4 所示。可见,在寒冷地区和严寒地区,由单层岩棉条结构构成的围护结构中,岩棉条的厚度均已超过 300mm;而石墨聚苯板的加入有利于减少围护结构总厚度,在三种典型气候区,由岩棉条-石墨聚苯板双层结构构成的围护结构中,关键保温材料总厚度均小于 300mm。
表 3 围护结构构造及分层热阻和蒸汽渗透阻
表 4 围护结构总厚度、总热阻及总蒸汽渗透阻
为了便于分析说明,将围护结构界面由内向外依次编号,如图 1 所示。
图 1 围护结构界面划分示意图
图 2 单层岩棉条结构饱和蒸汽压及实际蒸汽压分布
2 饱和蒸汽压和实际蒸汽压分布
根据冬季室内外温度Tin、Tout 和公式(1)、公式(2),确定两种围护结构各界面温度Tw,通过查 GB50176-2016《民用建筑热工设计规范》[5] 附录 B8 可得各界面饱和水蒸气分压力 Ps。再根据冬季室内外相对湿度 fin、fout确定冬季室内外实际水蒸气分压力,进而通过公式(3)得到两种围护结构各界面实际水蒸气分压力 Pj。将 Tw、Ps 和 Pj 的计算结果绘制成图表,如图 2 和图 3 所示。
三、结论
(1)在外墙传热系数相同的情况下,石墨聚苯板的加入有利于减少围护结构总厚度;
(2)围护结构材料的排序对内部冷凝现象有明显影响,最容易出现冷凝的界面位于关键保温材料低温侧,故应在保温材料前加入蒸汽渗透阻高的材料,有利于降低冷凝现象出现的可能性;
(3)在满足被动式低能耗建筑外墙传热系数要求的情况下,由单层岩棉条结构和岩棉条-石墨聚苯板双层结构构建的被动式低能耗建筑外围护结构,在三种典型气候区冬季时,均未出现冷凝现象;
图 3 岩棉条 - 石墨聚苯板双层结构饱和蒸汽压及实际蒸汽压分布
(4)从内部冷凝角度分析,单层岩棉条结构和岩棉条-石墨聚苯板双层结构均可作为被动式低能耗建筑的外墙保温结构。
参考文献
[1] 贾子乐 . 建筑外围护结构热湿状态分析研究 [D]. 北京交通大学,2010.
[2]DB13(J)/T177-2015 被动式低能耗居住建筑节能设计标准 [S].
[3] 戴绍斌 , 杨龙 , 黄俊 , 倪青荣 . 夏热冬冷地区外墙保温体系有限元分析 [J]. 新型建筑材料 ,2014,41(12):17-19.
[4] 冯驰 , 冯雅 , 孟庆林 . 加气混凝土蒸汽渗透系数的变物性取值方法 [J]. 土木建筑与环境工程 .2013,35(5):132-6.
[5]GB50176-2016 民用建筑热工设计规范 [S].
[6] 被动式超低能耗绿色建筑技术导则 ( 试行 )( 居住建筑 )[S].
[7] GB 50011 – 2010 建筑抗震设计规范 [S].
[8] 16J908-8 被动式低能耗建筑 - 严寒和寒冷地区居住建筑 [S].
[9] GB50016-2014 建筑设计防火规范 [S].
来源:被动房网









